
By Paul Homewood . It was always about the money: https://www.youtube.com/watch?v=NiDat8MJb0M Babayev, Azerbaijan’s Minister for Ecology, has…
Give Us $8 Trillion, Says COP29 President

By Paul Homewood . It was always about the money: https://www.youtube.com/watch?v=NiDat8MJb0M Babayev, Azerbaijan’s Minister for Ecology, has…
Give Us $8 Trillion, Says COP29 President
This paper presents a detailed demonstration of the exact nature of Aitken’s construction for generating points on a parabola.
It also introduces the FLINE, a function for generating points on a line, providing a direct way to encode Aitken’s construction.
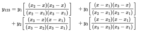
It will be shown that points on a parabola generated by Aitken’s construction are identical to the points generated by a second order Lagrange polynomial.
Additional work shows how to construct tangents on the Parabola.
Please note: MathPix, GreenShot, Notepad++ proved to be extremely helpful in composing this paper.
Aitken, A. (1932). On Interpolation by Iteration of Proportional Parts, without the Use of Differences.
Proceedings of the Edinburgh Mathematical Society, 3(1), 56-76. doi:10.1017/S0013091500013808
Introducing FLINE to evaluate points on the line defined by end points (X1, Y1) and (X2, Y2),

it is then easy to encode Aitken’s Construction

Expanding and collecting like terms:


reproduces the second order Lagrange polynomial.

A Side note:
Generating a point using Lagrange polynomial requires 3 divisions, 15 multiplications, 6 subtractions and 3 additions.
On the other hand, Aitken formulation only requires 3 divisions, 6 multiplications, 9 subtractions and 3 additions.
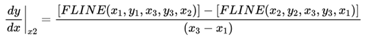
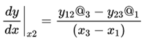
Extension of the Construction to Evaluate the Tangents at Defining Points of the Parabola
Using FLINE as a point of focus. Further examination of the Aitken Construction led to the realization that local tangents to the parabola could also be constructed.
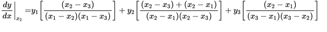
The development of the construction will begin with the polynomial. Taking the first derivative of Lagrange Polynomial

and evaluating it at a particular point say (X2, Y2)


Continuing:


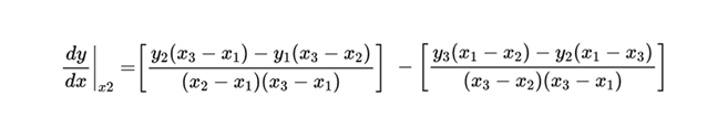
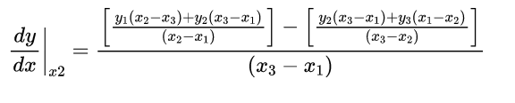
The Tangent at point (X2, Y2) can then be express in terms of FLINE



Continuing, all three tangents can then be evaluated

It should be noted that:

Showing how the tangent can be computed from the secants.

Introduction
This report presents a unique approach for the Numerical Differentiation of Tabular Functions. This approach focuses on the local shape of the Tabular Function, selecting all sets of three adjacent data points. The key features of this process are represented in the following diagrams.
Consider a typical interval of the Tabular function. Focus on point J, where the Data Point J runs from Point 2 to Point N-1. At each interval construct, the Secants related to the adjacent points.

The Slope at Point J is estimated by the average of the Tangent Estimates that fall between the MIN(SL, SR) and the MAX(SL, SR).

The notion of employing averaging as a means to stabilize the slope computation was inspired by various descriptions of Numerical Integration techniques that use sequential averaging to produce a smooth integral, suppressing irregularities in Tabular Functions.
Tangent Estimators
With the three points that make up each interval of the Tabular Function, it is possible to develop local fits to the data based on conic sections.
The complete formula for a conic curve is the classical formula:

Recognizing that the conic segment models must include the terms to support translation in both the X and Y directions (the slope of the curve is invariant under translation), gives rise to the choice of seven conic segments that can be defined by three points:

The detailed derivation of the central differences provided by the tangent estimators is given in a supporting document.
A Collection of Tangent Estimates for Numerical Differentiation.pdf
Evaluating Tangent Estimators
The equations for all the Tangent Estimators are folded into a single subroutine. Computing numerators and denominators separately provide a simple control method to avoid the issue of division by zero.

Slope Estimates for the First and Last Data Points
The slopes of the first and last data points are computed using an extrapolation based on the Aitken construction for a Parabola.

Details of the Aitken Construction can be found here:
Aitken Graphical Constructions for Points on a Parabola.pdf

The purpose of this report is to presents a collection of Tangent Estimates that can be used for the Numerical Differentiation of Tabular Functions. Derived by fitting Conic Segments to three adjacent points on the Tabular Function, these central difference formulas have been reduced to equations expressed in terms of the local secants.

Tangent Estimate Formulas

Secant Identities that simplified the Tangent Estimate Formulas.

Example development of the Tangent Estimate for the X Parabola.


Note: All Equations were typeset using MathPix https://mathpix.com/
I discovered a neat trick that provides a dynamic look ahead to select items from a List
The other day, I spent some time searching via Google to find a simple way to quickly choose items from a list.
I saw several suggested techniques that would provide a look ahead capability for selecting items from an enhanced Drop-Down Box.
I was not satisfied with what I found.
Later, while I was working on my project, I noticed that as I entered a formula into Excel, Excel would then offer a list of suggestions.
That included both functions and Ranges.

I then realized that I could take advantage of this auto-suggestion feature to get the look ahead functionality what I was looking for.
Using a special symbol, I generated a Range Name for each person in the List.
You can use different symbols to manage different lists.
For example, using a collection of Random Names:

The list is referenced in alphabetical order.
Bill Jelen posted a YouTube showing how this technique can be used.
I have explored several special characters that can be used as the first Character for a Range Name.
This collection of characters will enable the development of various lists in a workbook.

A special symbol is entered by using the Number Pad.
Hold Down the Alt Key and then type 0XXX.
As an aside, I use the following code snippet to selectively delete collections of Range Names.

Here are links to the example Workbooks:
Contact me for more information:
alfred.vachris@gmail.com
Here is a Topic Search that identifies various resources for the DAX and M
Some are well known, and some are not so well known.
My topic search report begins with a list of search strings which are passed individually to Google Search.
The resulting Google source page is captured and parsed for each search string.
Three sub reports are extracted from the Google source page:
The process begins with the Google “All” search. This search is re-run several times to collect and incorporate new Google search suggestions. Once a fair number of search terms have been processed, the collection of search strings in modified and then processed with the Google Image Search engine. All these uncombined reports are collected to a specific folder. Then the secondary process is executed to aggregate the collection of sub reports.
The five outputs are then collected and posted.
List of Search Strings
List of Google Suggestions
Landing pages discovered by the Google Searches. Each landing page tabulates the top five search strings that produced the landing page. Scanning this list of landing pages can bring to light new resources. Note that since this is PDF document – each URL is a hyperlink. Some landing page links may not function because I have prefixed “www.” to the landing URL. This prefix may need to be removed. It is also possible that the link may no longer be active.
URLs and Titles –details each discovered URL, giving its title and identifying the search strings that returned the URL. Again, note this is a PDF document hence the URLs are hyperlinks. Double click and your browser will open to the web page.
The workbook that was the source of the other reports is included here in case the user would like to generate focused reports. – note the complete report enables the user to apply the advanced filter capability of Excel to extract detailed results from the report which may contain hundreds of URLs
For more information, contact me
alfred(dot)vachris(at)gmail(dot)com
Here is a Topic Search that identifies various resources for the Power Query
Some are well known, and some are not so well known.
My topic search report begins with a list of search strings which are passed individually to Google Search.
The resulting Google source page is captured and parsed for each search string.
Three sub reports are extracted from the Google source page:
The process begins with the Google “All” search. This search is re-run several times to collect and incorporate new Google search suggestions. Once a fair number of search terms have been processed, the collection of search strings in modified and then processed with the Google Image Search engine. All these uncombined reports are collected to a specific folder. Then the secondary process is executed to aggregate the collection of sub reports.
The five outputs are then collected and posted.
List of the search strings
List of Google Suggestions
Landing pages discovered by the Google Searches. Each landing page tabulates the top five search strings that produced the landing page. Scanning this list of landing pages can bring to light new resources. Note that since this is PDF document – each URL is a hyperlink. Some landing page links may not function because I have prefixed “www.” to the landing URL. This prefix may need to be removed. It is also possible that the link may no longer be active.
URLs and Titles –details each discovered URL, giving its title and identifying the search strings that returned the URL. Again, note this is a PDF document hence the URLs are hyperlinks. Double click and your browser will open to the web page.
The workbook that was the source of the other reports is included here in case the user would like to generate focused reports. – note the complete report enables the user to apply the advanced filter capability of Excel to extract detailed results from the report which may contain hundreds of URLs
For more information, please contact me at alfred(dot)vachris(at)gmail(dot)com
Here is an Expanded Topic Search that identifies various resources for working with Excel workbook using Python and Pandas
This report is in response to a current series of questions about how to use Python to work with Excel workbooks.
Some of this resources are well known and some are not so well known.
My topic search report begins with a list of search strings which are passed individually to Google Search.
The resulting Google source page is captured and parsed for each search string.
There are three sub reports that are extracted from the Google source page:
Once the list of search terms has been processed, then a secondary process is executed to aggregate the collection of sub reports that were generated for each of the input search terms.
Collection of URLs – landing pages listed by the number of occurrences for the individual search strings. Scanning this list of landing pages can bring to light new resources. Note that since this is PDF document – each URL is a hyperlink. Some of the links listed in the search string count PDF may not function because I have prefixed “www.” to the landing URL. This prefix may need to be removed.
Collection of Direct URLs – details of each discovered URL, giving its title and identifying the search string that returned the URL. Again, note this is a PDF document hence the URLs are hyperlinks. Double click and your browser will open to the web page.
Collection of Google Suggested Search Terms – note that the reports presented here made use of this feature to expand the original search!
The workbook that was the source of the other reports is included here in case the user would like to generate focused reports.
I believe that this Topic Search Process could provide High School Students a running start at the beginning of their research studies.
Some are well known and some are not so well known.
My topic search report begins with a list of search strings which are passed individually to Google Search.
The resulting Google source page is captured and parsed for each search string.
There are three sub reports that are extracted from the Google source page:
Once the list of search terms has been processed, then a secondary process is executed to aggregate the collection of sub reports that were generated for each of the input search terms.
Collection of URLs – landing pages listed by the number of occurrences for the individual search strings. Scanning this list of landing pages can bring to light new resources. Note that since this is PDF document – each URL is a hyperlink. Some of the links listed in the search string count PDF may not function because I have prefixed “www.” to the landing URL. This prefix may need to be removed.
Collection of Direct URLs – details of each discovered URL, giving its title and identifying the search string that returned the URL. Again, note this is a PDF document hence the URLs are hyperlinks. Double click and your browser will open to the web page.
Collection of Google Suggested Search Terms – note that the reports presented here made use of this feature to expand the original search!
The workbook that was the source of the other reports is included here in case the user would like to generate focused reports.
Here is an Expanded Topic Search that identifies various resources for NotePad ++
Some are well known and some are not so well known.
My topic search report begins with a list of search strings which are passed individually to Google Search.
The resulting Google source page is captured and parsed for each search string.
There are three sub reports that are extracted from the Google source page:
Once the list of search terms has been processed, then a secondary process is executed to aggregate the collection of sub reports that were generated for each of the input search terms.
Collection of URLs – landing pages listed by the number of occurrences for the individual search strings. Scanning this list of landing pages can bring to light new resources. Note that since this is PDF document – each URL is a hyperlink. Some of the links listed in the search string count PDF may not function because I have prefixed “www.” to the landing URL. This prefix may need to be removed.
Collection of Direct URLs – details of each discovered URL, giving its title and identifying the search string that returned the URL. Again, note this is a PDF document hence the URLs are hyperlinks. Double click and your browser will open to the web page.
Collection of Google Suggested Search Terms – note that the reports presented here made use of this feature to expand the original search!
The workbook that was the source of the other reports is included here in case the user would like to generate focused reports.